肉类主要包括畜禽类和水产品类,人体所需的蛋白质、脂肪酸、微量元素等重要能量物质都来源于肉类。随着生活水平不断地提高,人们在饮食方面更加注重食品的品质和营养均衡搭配,但一些不法商家将一些低品质的肉类混入高品质肉类中,以次充好,特别是2013年欧洲的“马肉风波”,引发了人们对肉类掺假问题的*度关注。肉类掺假检测方法包括感官评测、荧光PCR检测技术、电泳分析法和酶联免疫分析技术等,但大都需要样品前处理,试验操作较为繁琐且费时费力,很难实现较大样品量的现场快速实时检测。
江苏通宝TB888公司利用GaiaField-Pro-V10E型和GaiaField-Pro-N17E型高光谱相机,搭配GaiaSoter分选仪,对羊肉中掺假鸭肉进行快速定量检测,以期为羊肉掺假的定量检测提供数据和技术支撑。
图1为获取羊肉中掺杂不同比例的鸭肉高光谱数据的简易流程(掺假比例为0%~100%,间隔为10%),包括感兴趣区域的选取及光谱的提取工作。在整个光谱范围(400~1000nm和900~1700nm)内并不存在随着羊肉掺假比例地升高,光谱的反射率曲线有明显的升高或下降的规律,因此需要通过化学计量学方法提取光谱中的有效信息,剔除无用的干扰信息后建立模型。

图1
首先对全光谱进行预处理后建模,如表1,表2所示,对于400~1000nm波段范围的光谱,采用归一化预处理后建模效果*好,对于900~1700nm波段范围的光谱,采用SNV预处理后的光谱建模*好。
表1 400~1000nm采用不同预处理方法的全波段PLS模型性能
|
模型 |
主因子数 |
校正集 |
预测集 |
|||
|
|
R2cv |
SECV |
R2p |
RMSEP |
RPD |
|
|
NONE |
7 |
0.9059 |
0.0994 |
0.9078 |
0.0903 |
3.2933 |
|
WT |
10 |
0.8605 |
0.1147 |
0.8886 |
0.1117 |
2.9661 |
|
MSC |
13 |
0.9169 |
0.0955 |
0.8184 |
0.1247 |
2.3466 |
|
SNV |
9 |
0.8980 |
0.1058 |
0.8761 |
0.1052 |
2.8410 |
|
归一化 |
6 |
0.9071 |
0.0988 |
0.9153 |
0.0853 |
3.4360 |
|
SG |
7 |
0.9060 |
0.0993 |
0.9074 |
0.0905 |
3.2832 |
表2 900~1700nm采用不同预处理方法的全波段PLS模型性能
|
模型 |
主因子数 |
校正集 |
预测集 |
|||
|
|
R2cv |
SECV |
R2p |
RMSEP |
RPD |
|
|
NONE |
6 |
0.7856 |
0.1455 |
0.8618 |
0.1169 |
2.6900 |
|
WT |
13 |
0.8712 |
0.1042 |
0.8970 |
0.1081 |
3.1159 |
|
MSC |
5 |
0.9038 |
0.0979 |
0.9269 |
0.0944 |
3.6986 |
|
SNV |
5 |
0.9055 |
0.0970 |
0.9311 |
0.0967 |
3.8087 |
|
归一化 |
7 |
0.8974 |
0.0995 |
0.8842 |
0.1479 |
2.9386 |
|
SG |
12 |
0.8022 |
0.1397 |
0.9106 |
0.0941 |
3.3445 |
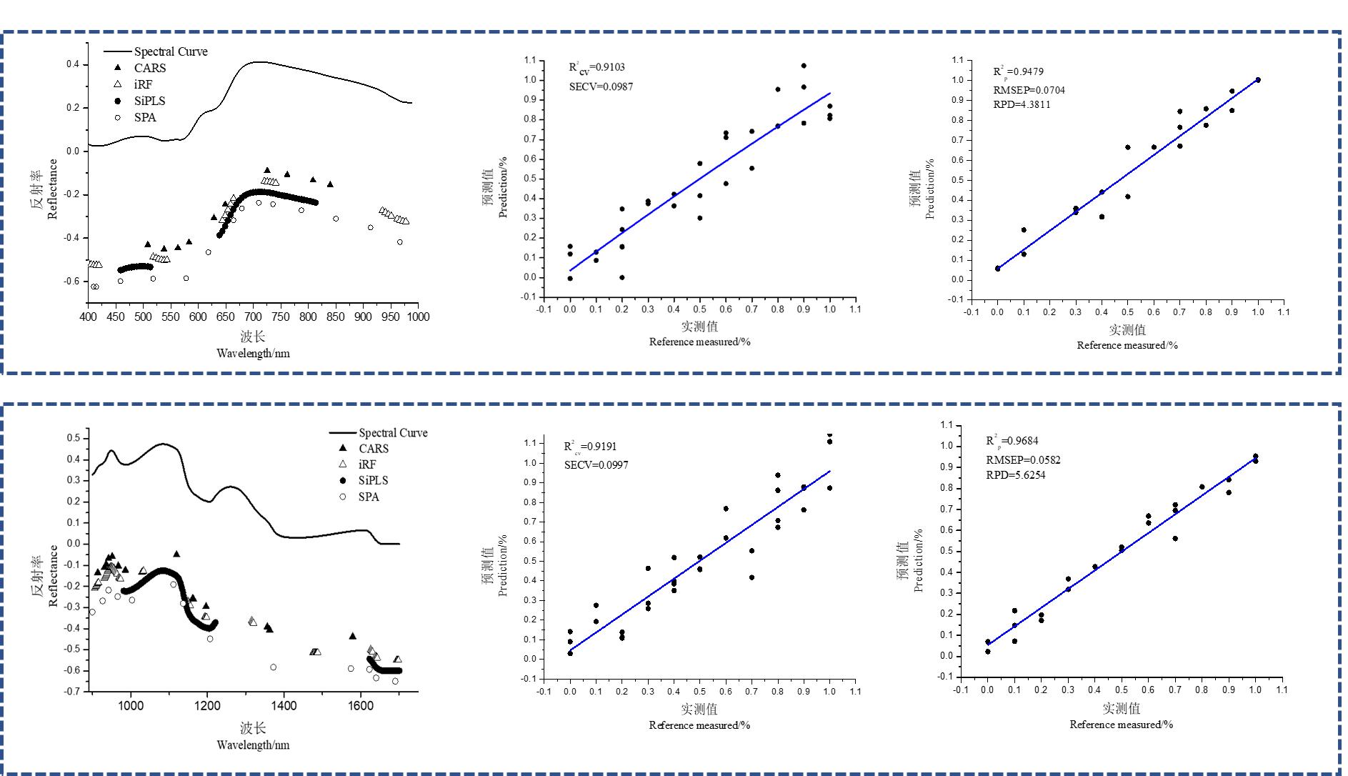
随后在选择*佳预处理方法的基础上,对光谱进行特征选择,并与全光谱进行模型性能对比,最终选择在900-1700nm波段范围内,采用SNV-SPA方法的建模效果*好,其建模效果:R2cv为0.9191,SECV为0.0997,R2p为0.9684,RMSEP为0.0582,RPD为5.6254。表3、表4为不同特征波长挑选方法的建模效果对比,图2为挑选波长的位置分布及建模效果。
表3 400~1000nm采用归一化后的PLSR建模效果
|
模型 |
特征波长数 |
主因子数 |
校正集 |
预测集 |
|||
|
R2cv |
SECV |
R2p |
RMSEP |
RPD |
|||
|
CARS |
10 |
9 |
0.8998 |
0.0964 |
0.8708 |
0.1024 |
2.7821 |
|
iRF |
29 |
6 |
0.9098 |
0.0983 |
0.9292 |
0.0760 |
3.7582 |
|
SiPLS |
47 |
7 |
0.9088 |
0.0982 |
0.8960 |
0.0919 |
3.1009 |
|
SPA |
14 |
10 |
0.9103 |
0.0987 |
0.9479 |
0.0704 |
4.3811 |

表4 900~1700nm采用SNV预处理方法后的PLSR建模效果
|
模型 |
特征波长数 |
主因子数 |
校正集 |
预测集 |
|||
|
R2cv |
SECV |
R2p |
RMSEP |
RPD |
|||
|
CARS |
14 |
13 |
0.9167 |
0.0996 |
0.9575 |
0.0184 |
4.8507 |
|
iRF |
70 |
7 |
0.9062 |
0.0967 |
0.9434 |
0.0197 |
4.2033 |
|
SiPLS |
205 |
6 |
0.9092 |
0.0951 |
0.9554 |
0.0600 |
4.7351 |
|
SPA |
13 |
7 |
0.9191 |
0.0997 |
0.9684 |
0.0582 |
5.6254 |
最后对*佳模型进行可视化反演,从图3可以看出,随着掺假比例的增加,颜色由深色变成浅色。高光谱成像技术提供了一种切实可靠的方法来可视化掺假样品的分布,这是其他方法无法实现的。

参考文献:赵静远, 张俊芹, 孙梅,等. 基于高光谱成像的羊肉掺假可视化无损定量检测[J]. 食品与机械, 2022, 38(10):8.
地址:无锡市梁溪区南湖大道飞宏路58-1-108
电话:13810664973
邮箱:info@xpjxsb.com
地址:北京市海淀区中关村大街19号
电话:13810664973
邮箱:info@xpjxsb.com
地址:陕西省西安市高新区科技一路40号盛方科技园B座三层东区
电话:13810664973
邮箱:info@xpjxsb.com
地址:成都市青羊区顺城大街206号四川国际大厦七楼G座
电话:13810664973
邮箱:info@xpjxsb.com
地址:深圳市龙华区民治梅龙路
电话:13810664973
邮箱:info@xpjxsb.com