番茄(Solanum lycopersicum L.)因其营养丰富以及风味独特深受广大消费者的喜爱。成熟过程受遗传和环境的调控导致生理生化变化,如番茄红素的生物合成、可滴定酸的损失、可溶性糖的增加、硬度和颜色等物理变化以及番茄香气、营养成分和风味的变化。目前,无损检测技术已被广泛探索用于预测番茄品质,如机器视觉、电子鼻技术、光谱分析技术、核磁共振技术。高光谱成像将光谱与传统图像相结合,可以同时获得目标的空间和光谱信息,具有可靠性高、无损、准确等优点。
山东农业大学邵园园副教授团队利用我司高光谱设备,对番茄高光谱数据进行采集的同时获取番茄综合品质指标,预测番茄内在营养品质的变化,为实现番茄果实最佳采摘时期的确定、分级、运输、贮藏和保鲜等具有重要的指导意义。我司高光谱设备参数如图1所示。




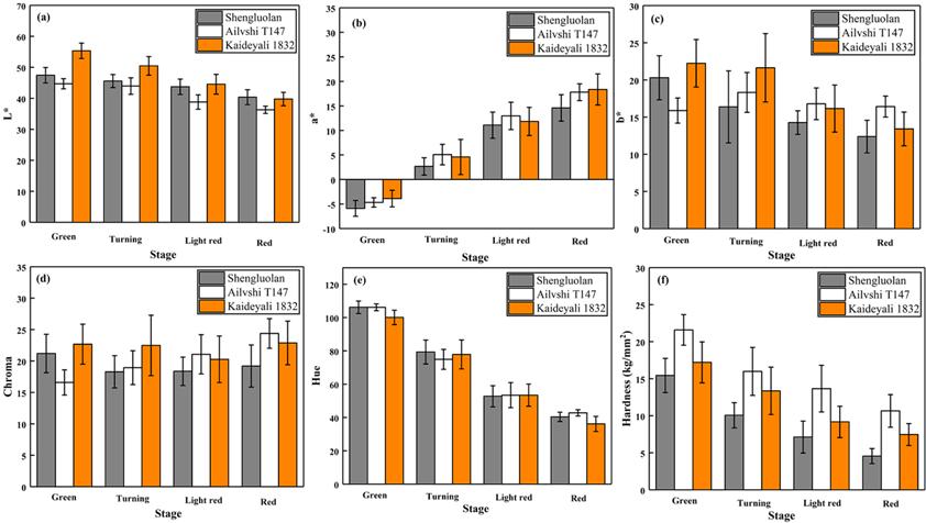
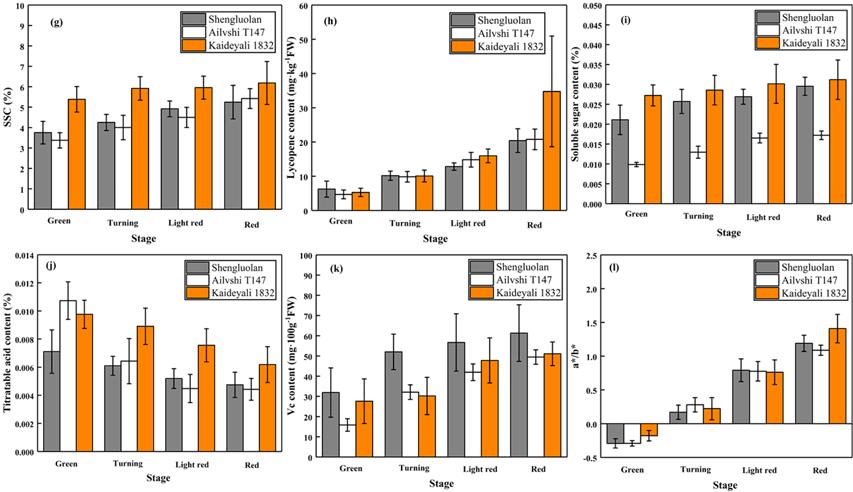
在番茄的品质检测中,大多数检测是针对单一品质指标,很少能同时检测番茄的综合品质。本研究为寻找可表示番茄综合品质的指标,采用可见光和近红外(Vis-NIR)高光谱成像技术,分别在绿熟期、转色期、成熟期和晚熟期,对3个常栽番茄品种(‘圣罗兰’、‘凯德雅丽1832’和‘爱绿士T147’)的果实进行了图像采集,并测定了其中的12个品质指标:果实的颜色指标(L*、a*、b*、色度值、色调值、a*/b*)、硬度、番茄红素、可溶性固形物、可溶性糖、有机酸和VC含量作为参考标准。
其次,通过分析不同指标的变化趋势及相关性,利用因子分析提出了综合品质指标(CQI)。因子分析用于从12个番茄品质指标中寻找潜在和主导因子,用于番茄果实的综合品质评价。因子分析的合理性通过kaiser meyer olkin(KMO)和bartlett球形检验进行评估。开发因子的方差和特征值,生成因子得分表。
表1 各项品质指标的因子的成分矩阵
|
Index |
Factor |
||
|
1 |
2 |
3 |
|
|
L* |
-0.693 |
0.548 |
-0.285 |
|
a* |
0.943 |
-0.001 |
0.216 |
|
b* |
-0.589 |
0.642 |
0.409 |
|
Chroma |
0.153 |
0.779 |
0.567 |
|
Hue |
-0.965 |
0.045 |
-0.111 |
|
Hardness |
-0.829 |
-0.095 |
0.262 |
|
SSC |
0.583 |
0.610 |
-0.194 |
|
Lycopene |
0.802 |
0.120 |
0.035 |
|
Soluble sugar |
0.481 |
0.634 |
-0.510 |
|
Titratable acid |
-0.651 |
0.275 |
-0.266 |
|
VC |
0.792 |
0.062 |
-0.087 |
|
a*/b* |
0.974 |
-0.024 |
0.092 |

其中T是番茄红素,F是硬度,C是色度值,H是色调值。
最后通过连续投影算法选择特征波长,用于建立CQI预测的三个回归模型。结果表明,多元线性回归(MLR)模型RV2= 0.87,RMSEV = 1.33,RPD = 2.58取得了良好的性能。本研究表明,基于高光谱成像和化学计量学技术,可以无损预测番茄的综合品质,为番茄果实的最佳采收期的确定、果实分级、运输、贮藏和保鲜提供了技术支持。本研究提出的综合品质指标(CQI)不仅综合了番茄果实的内外部品质指标,而且与番茄的成熟度具有一定的关联性。

图3高光谱数据分析过程
第一作者简介:
邵园园,工学博士,山东农业大学副教授,硕士生导师。
主要研究方向:1、农业机械设计,包括播种育苗移栽机械、免耕播种机械、秸秆后处理机械及苹果、花生、甘薯收获机械等。
2、机构运动与动力学优化仿真;精准农业、农产品检测、图像识别、高光谱图像处理等。
参考文献:Shao Y , Shi Y , Qin Y,Xuan G , et al. A new quantitative index for the assessment of tomato quality using Vis-NIR hyperspectral imaging [J]. Food Chemistry, 386(2022):132864.
地址:无锡市梁溪区南湖大道飞宏路58-1-108
电话:13810664973
邮箱:info@xpjxsb.com
地址:北京市海淀区中关村大街19号
电话:13810664973
邮箱:info@xpjxsb.com
地址:陕西省西安市高新区科技一路40号盛方科技园B座三层东区
电话:13810664973
邮箱:info@xpjxsb.com
地址:成都市青羊区顺城大街206号四川国际大厦七楼G座
电话:13810664973
邮箱:info@xpjxsb.com
地址:深圳市龙华区民治梅龙路
电话:13810664973
邮箱:info@xpjxsb.com