多通道光谱测试系统方案
多通道光谱测试系统从功能上划分为照明模块、光纤多通道光谱采集模块、多通道成像光谱仪、控制存储模块,总体结构如下图所示,其中的控制模块包含光谱相机模块和光源控制模块。其光谱相机是将分光元件与面阵列相机完美结合,可同时、快速获取光谱和影像信息;可应用与于多领域的科学研究及工业自动化检测。光源模块采用高匀化处理的面阵列结构来满足系统需求。
系统针对特定的样品进行信息获取和分析,借助自主开发的采集分析软件输出高稳定性、高精准性的结果,实现图谱一体化,是一种理想的透射测试方案。

图1 多通道光谱测试系统-透射式
方案:膜层透过率光谱测试系统- 多通道光纤采集系统:
目前结合成像光谱仪有10、25、30 与40 通道可选,根据本方案测试需求配置40 通道光纤束,光纤芯径105μm, 长度0.5 米。

基本工作原理:入射狭缝(Entrance Slit)位于准直系统的前焦面上,样品(Target)的入射光经准直光学系统准直后,进过棱镜- 光栅- 棱镜色散后有成像系统将光能按波长顺序成像在探测器的不同位置上。然后在垂直于狭缝方向使被测物与狭缝实现一维相对运动,得到被测物的二维空间信息与光谱信息,得到高光谱数据立方体,而结合多通道光纤束则无需机械扫描运动结构,方可实现对多点目标光谱的实时监测。

图4 成像光谱仪原理图

图5 设备实体
表 1:成像光谱仪参数配置:
|
序号 |
技术指标 |
备注 |
|
|
1 |
Image-λ-V10E-HR |
多通道高光谱相机 |
|
|
2 |
光谱分辨率 |
<2nm |
@18μm slit |
|
3 |
光谱通道 |
40 Bands |
|
|
4 |
相机像素 |
1936*1456 |
53fps@1440通道,160fps@(176通道) |
|
5 |
像元尺寸 |
4.54μm*4.54μm |
|
|
6 |
光谱仪狭缝宽度 |
18μm |
|
|
7 |
相机通讯方式 |
USB3.0 |
必须连接计算机的USB3.0端口 |
|
8 |
相机供电 |
DC5V/3A |
切勿使用非标电源 |
|
9 |
相机尺寸 |
36cmx10cmx11cm |
含光纤融合结构 |
|
10 |
光纤长度 |
36cm/根 |
光纤不可拆卸、勿折叠 |
|
11 |
光纤数量 |
40根 |
|
表 2:光源技术指标:
|
序号 |
名称 |
技术指标 |
|
1 |
内径尺寸 |
20cm |
|
2 |
输出电压 |
DC12V |
|
3 |
总功率 |
160W(可扩展到Max280W) |
|
4 |
输入电压 |
AC220V-240V |
|
5 |
光强(工作距离25~42cm时) |
10mw~22mw |
|
6 |
亮度调节 |
0-100%不可调 |
|
7 |
光谱范围 |
全波段(卤素灯珠350nm~2500nm) |
|
8 |
有效光距 |
40cm-42cm |
|
9 |
有效光径 |
10cm*10cm~12cm*12cm 标准10cm*10cm |
|
10 |
均匀度 |
大于95%@(标准10cm*10cm) |
|
11 |
区域大小 |
15cm*15cm(MAX) |
|
12 |
标准偏差 |
0.25-0.96 |
|
13 |
平均值 |
10.79mw-22.35mw |
|
14 |
相对标准偏差 |
2.3%-4.3% |

图6 探头分布

图7 软件界面
应用案例:
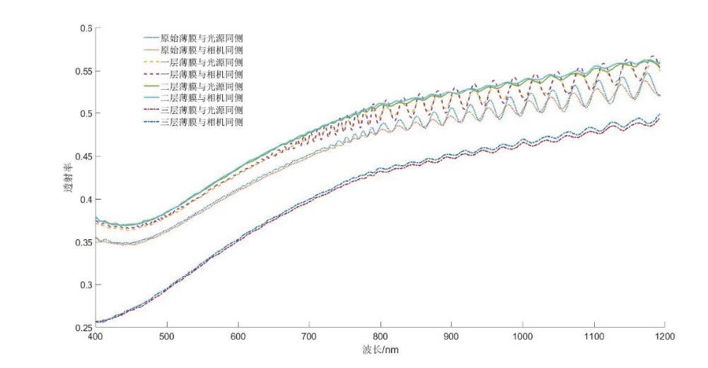
对不同厚度的薄膜样品进行透射光谱采集,通过透射率分析其在不同波长下的表现,为生产、质检、材料等环节提供技术支持。
软件功能:
● 多种相机Binning设置
图 不同厚度的薄膜透射谱
地址:无锡市梁溪区南湖大道飞宏路58-1-108
电话:13810664973
邮箱:info@xpjxsb.com
地址:北京市海淀区中关村大街19号
电话:13810664973
邮箱:info@xpjxsb.com
地址:陕西省西安市高新区科技一路40号盛方科技园B座三层东区
电话:13810664973
邮箱:info@xpjxsb.com
地址:成都市青羊区顺城大街206号四川国际大厦七楼G座
电话:13810664973
邮箱:info@xpjxsb.com
地址:深圳市龙华区民治梅龙路
电话:13810664973
邮箱:info@xpjxsb.com