近红外成像光谱技术助力水稻穗腐病严重度精准监测
应用方向:
在本研究中,高光谱成像技术(HSI)主要应用于水稻穗腐病(RSRD)的精准监测与病害严重程度量化。通过结合近距离高光谱成像与化学计量学分析,HSI不仅能够捕获水稻穗粒的光谱特征,还能够提供空间信息,从而实现对病斑的识别和分布可视化。该技术可用于水稻生长的不同阶段,克服了传统病害监测方法在时间和空间上的局限性,使病害检测更加稳定和准确。研究中构建的水稻穗腐病指数(RSRI),能够在多个生长阶段保持良好的监测性能,并为病害的早期预警提供科学依据。此外,高光谱成像技术还能应用于病害传播动态监测、作物育种筛选以及精准农业管理,为提高粮食安全与作物健康提供强有力的技术支持。
背景:
水稻作为全球主要粮食作物之一,其稳定和可持续生产受到多种因素的威胁,包括病害、虫害和环境因素。近年来,由镰刀菌引起的水稻穗腐病在东亚水稻种植区日益成为一种新兴病害,其传播迅速,并可显著降低水稻产量和品质。此外,该病害产生的毒素还可能影响食品安全,因此对其进行有效监测和防控具有重要意义。
目前,传统的病害监测方法主要依赖于人工目测,这种方法不仅主观性强、费时费力,而且难以在早期阶段准确识别受感染的穗粒,尤其是当病害程度较轻时,在田间环境下难以肉眼察觉。相比之下,遥感技术,特别是高光谱成像技术(HSI),提供了一种高*、无损的病害监测手段。已有研究表明,高光谱遥感可用于检测多种作物病害,并能够在病害出现肉眼可见症状前提供早期预警。然而,目前大部分研究集中在叶部病害检测上,针对水稻穗部病害的研究较少。由于穗粒的三维形态结构复杂,传统的非成像光谱仪难以*确观测其光谱特征,而高光谱成像技术结合近距离成像光谱则能够获取穗部的空间和光谱信息,从而提高病害监测的精度。
此外,以往研究多在作物生长的某一特定时期进行病害监测,而忽略了病害在整个生长阶段的动态变化。由于水稻穗粒的成熟过程可能会影响光谱反射特性,因此需要开发一种能够跨生长阶段稳定监测病害严重程度的光谱指数,以提升病害监测的一致性和准确性。因此,该研究的研究目的如下:分析水稻穗腐病在不同生长阶段的光谱响应特性,探讨其在各阶段的光谱变化规律;构建适用于多个生长阶段的穗腐病光谱指数,用于病害严重程度的量化;评估该指数在不同生长阶段的适用性,并与已有光谱指数进行对比,验证其在病害监测和病斑分布可视化方面的有效性。
实验设计
1.1材料与方法
(1)实验设置
在中国江苏省南京市南京农业大学进行了水稻穗腐病(RSRD)监测的小区试验。为了方便仪器设置,使用地上填满田土的水泥池作为实验小区。共有24个大小相同的小区,每个小区的尺寸为2米×3米(图1)。2019年和2020年的水稻季节,除了水稻品种外,实验在相同的设置下进行。为了与田间管理实践保持一致,在移栽前施用了基肥(氮肥150公斤/公顷;五氧化二磷135公斤/公顷;氧化钾18.3公斤/公顷)。然后在分蘖期进行了追肥(氮肥150公斤/公顷)。水稻作物以高密度(行距和株距分别为0.1米和0.15米)移栽,以创造RSRD感染和发展所需的高湿度环境。
图1.2019年和2020年试验小区的实验区域地图,分别展示了2019年四个品种(V1: 武运粳23号,V2: 武运粳24号,V3: 武运粳7号,V4: 南粳44号)和2020年另外四个品种(V1: 扬农1号,V2: 南粳9108号,V3: 南粳5055号,V4: 淮稻5号)的试验小区布局
由于丰满紧凑的粳稻品种更易感染RSRD,我们选择了江苏省常见的八个粳稻品种进行实验(2019年:武运粳23号、武运粳24号、武运粳7号和南粳44号;2020年:扬农1号、南粳9108号、南粳5055号和淮稻5号)。在2019年和2020年的实验小区中,RSRD自然发生。
(2)数据收集与预处理
为了避免稻穗和叶片在小区内对测量造成严重干扰,并提高测量效率,我们在晴朗的中午时分,在抽穗、开花和灌浆阶段,将感染稻穗从水稻植株上移除,以便进行原位成像光谱数据采集。为了确保每个样本的完整性,移除稻穗时也一并移除了部分茎秆。移除后,新鲜样本被转移到靠近小区的龙门架平台上。在龙门架下的每次测量中,将五到八个稻穗放置在带有黑色面板的凳子上,并在旁边放置一个分析光谱装置。黑色和白色面板在可见光和近红外(VNIR)区域的反射率分别为3%和99.9%。一台数码单反相机(EOS 80D, Canon, Tokyo, Japan)和一台推扫式高光谱成像仪(GaiaField-V10E, 江苏通宝TB888科技有限公司)安装在自动线性扫描系统(HSIA-MScope-X)上。升降高度范围为250 ~ 1800毫米,扫描距离为1800毫米(图2)。此外,为了保持一致的光照条件,RGB照片和高光谱图像在正交方向上同步捕获。
图2.在阳光下获取稻穗RGB和高光谱图像的实验设置
RGB照片是通过相机快门的遥控器收集的。相机设置为A+模式,自动调整曝光时间,并将图像质量设置为*大分辨率6000×4000像素。高光谱图像是通过控制平台系统的笔记本电脑软件获取的。高光谱镜头与稻穗之间的距离保持在0.4米。配备有42.8°的镜头,HSI相机在该距离下实现了0.45毫米的空间分辨率,拥有256个波段,采样间隔为2.5nm,覆盖范围为361至1011nm。由于相机中的光学光圈是固定的,在推扫过程中入射光并不一致。为了增强光的一致性,图像扫描是使用龙门架的水平电机完成的,而不是内部推扫模块。此外,使用网格纸手动调整电机速度和焦距,以确保高光谱图像帧无失真且清晰。为了避免中午时分过曝,HSI相机的曝光时间手动设置为0.4秒。这些测量涵盖了两年的401个稻穗(表1)。
高光谱图像的反射率是从原始数字数值中导出的,然后使用最小噪声分数变换进行去噪处理。为了方便光谱处理,高光谱图像的光谱间隔被重新采样为1nm。由于450至800nm范围外的信噪比较低,因此仅使用该范围内的波段进行光谱分析。在ENSI 5.3中手动裁剪出每个稻穗的整体区域。通过设置0.2的阈值,应用760nm波段的反射率来屏蔽背景。然后通过形态学方法去除噪声像素,进一步细化稻穗区域。最后,计算每个稻穗的平均反射率,以供后续分析使用。
(3)方法
本研究提出了一种通过光谱分析和波段选择构建特定于RSRD严重程度量化光谱指数(SI)的方法,该方法使用从RGB图像中提取的疾病斑点(DS)作为参考。该方法采用多生长阶段的光谱数据进行波段选择,以确保其稳定的性能,并包括四个步骤:(1)确定SI的形式以表征主要的光谱响应;(2)基于相关性分析和相关域分离,选择多个生长阶段的敏感波段;(3)在DS量化和病斑映射中,评估所提出的SI与现有SI的比较。
提取疾病严重程度参考值:先前的研究主要采用定性的DS标准,通过视觉检查来标记感染样本。这种定性研究可能不足以满足精准农业中疾病监测的需求。为了弥补人类视觉在DS量化中的低效率和准确性不足,开发了一种方法,利用颜色空间转换和动态阈值分割技术,从RGB图像中自动提取DS参考数据(图3B)。
图3.RSRI开发、DS量化和DS映射程序的技术流程图(A 数据预处理,B DS参考提取,C 指数构建,D 建模和映射)
首先,每个样本从RGB图像中裁剪出来,并根据测量顺序和视觉匹配与相应的稻穗HSI分组。然后,使用颜色空间转换来增强每个RGB图像的对比度,因为背景和RSRD病斑之间的亮度非常接近。选择了Lab颜色空间,因为它几乎不受光照条件或传感器的影响,用于背景移除和RSRD病斑识别。这个空间是一个颜色对立空间,其中“L”代表亮度,“a”和“b”代表颜色对立维度。“b”值代表了黄/蓝对立颜色的真实中性灰度值,这意味着“b”适合于从背景中分离稻穗。“a”值代表了红/绿对立颜色的真实中性灰度值,这意味着“a”适合于从健康像素中分离出感染像素。传统的阈值分割方法通常使用单一值将整个图像的所有像素分开。然而,严重和早期感染像素的颜色接近背景和健康区域。成熟度较高的稻穗颜色也较深,接近病斑和背景。这意味着全局阈值分割方法不适用于准确提取稻穗病斑。相比之下,局部阈值分割,也称为自适应或动态阈值分割,使用不同的阈值分割子区域以抵抗噪声或颜色不均匀。动态方法无论在生长阶段或疾病严重程度如何,都能比全局方法表现得更好。
在通过通道“b”进行背景移除和局部阈值分割后,进行了形态学细化以去除孤立噪声的小组件(最小连通组件设置为五千个像素)。接下来,使用通道“a”和局部阈值分割将稻穗像素分离为感染和健康的像素。局部阈值分割的子区域大小通过比较识别结果和原始RGB图像之间的视觉对比进行调整。需要注意的是,该研究中并未考虑RGB图像与HIS图像之间的空间对应关系。DS值是作为每个样本在器官尺度上观察到的疾病严重程度,而不是像素尺度。
提出的与现有的光谱指数:针对不同病害的光谱指数理论上应该针对特定的植物-病原相互作用,因为不同的宿主植物在遭受各种感染时可能会表现出可区分的光谱响应。鉴于这种特异性,构建了RSRD指数(RSRI)来表达RSRD的独特光谱特征。随着病情的发展,VNIR区域的光谱轮廓逐渐变宽。为了提高所提特征的敏感性,结合了多个波段来表示反射率曲线中的变宽趋势(图3C)。然后选择了双差分(DD)指数的形式来描述变化强度。此外,DD形式的指数被发现对包括日照强度变化在内的恒定和线性趋势的噪声不敏感。DS越严重,光谱曲线就越宽,DD值就越接近1。
为了确定构建SI的敏感波段,应用了一个特征选择流程,包括以下三个步骤。首先,在校准样本的反射率和DS值之间建立了每个波段的Spearman相关性。选择Spearman分析是因为本研究中的DS值不符合正态分布。在第二步中,通过将波长分为正域和负域来构建相关域,以定位不同的响应区域。覆盖少于五个波段的小域被丢弃,以确保波段选择的稳健性。第三步,选择每个域中相关性*强的波段,形成多个备选特征(图4)。上述选择分别针对抽穗、开花和灌浆阶段的样本进行。为确保RSRD指数的一致敏感性,主要选择在红色和近红外区域对所有阶段都敏感的共同波段。为了加强对疾病早期阶段的敏感性,使用抽穗阶段(最早感染阶段)保留的三个代表性波段来构建三个候选指数。然后,使用校准集得出决定系数(R²)值,以评估每个候选指数的DS量化。
图4.不同生长阶段(绿色:抽穗,蓝色:开花,红色:灌浆)下疾病DS与450至800nm波长处反射率之间的Spearman相关系数。灰色和白色背景分别代表负相关和正相关。黑色垂直线对应于灰色或白色相关域中的*大系数(上排:抽穗,中排:开花,下排:灌浆)
在整理用于植被胁迫监测的常用光谱指数(SIs)的线性回归R²值之后,选择了排名前五的光谱指数(NPCI、CCI、PRI670、PSRI和NDVI)与RSRI进行比较(表2)。分别从抽穗、开花和灌浆阶段各选取三个稻穗的轻度、中度和重度感染样本进行映射比较。接下来,将DS-SI关系应用于示范样本的高光谱图像,以绘制疾病分布图。
鉴于高光谱图像缺乏像素级参考的DS,因此将DS图与RGB图像进行比较,后者的颜色阴影可以为RSRD的严重程度提供一般性参考。
准确性评估:由于RSRD的感染和发展限制,2019年和2020年实验期间不同生长阶段的病穗数量显著不平衡(表1)。因此,将两年的所有样本汇总,以进行RSRI构建、模型校准和模型验证。汇总的数据集被随机分为校准集(60%)和验证集(40%)。使用线性模型拟合DS和SIs之间的关系。量化性能以决定系数(校准R²和验证R²)、均方根误差(RMSE)和偏差(Bias)来评估。
1.2.结果与讨论
(1)水稻稻穗对RSRD的光谱响应
感染RSRD的水稻稻穗的反射光谱随着DS水平的变化,在抽穗、开花和灌浆阶段的所有VNIR(可见光至近红外)光谱区域都有所变化(图5)。总体而言,这些阶段感染稻穗的反射率变化相似,包括绿峰减弱、红区显著增强以及NIR区域的崩溃。随着RSRD的发展,蓝区也有所增加,红边向短波长方向移动。此外,随着DS水平的升高,NIR区域的斜率变得更加陡峭。
虽然抽穗阶段的光谱变化因DS范围有限而较为温和(图5A),但开花阶段在所有三个阶段中显示出*强的光谱响应(图5B)。具体来说,与其它阶段相比,灌浆阶段在蓝色和红色区域的响应最为强烈。在开花阶段,绿色和NIR区域的反射率在0.0到0.2的轻度DS范围内呈现出显著的增加而非减少,这并没有表现出与灌浆阶段相同的单向减弱趋势(图5B、C)。
图5.不同生长阶段(A 抽穗,B 开花,C 灌浆)水稻稻穗在不同程度RSRD(RSRD)严重度下的反射光谱。(A)中的DS范围较窄,这是由于早期感染阶段允许的检查水平较低
(2)确定构建RSRI的*佳波段
总体而言,各个生长阶段中,单个波段的反射率与DS之间的Spearman相关性显示出一致的趋势(图4)。在蓝色和红色区域存在正相关域,在绿色和NIR区域存在负相关域。此外,抽穗阶段的蓝色区域还有一个额外的负相关域。由于DS范围有限,抽穗阶段的相关性最弱。对于抽穗和灌浆阶段,DS与蓝色区域的反射率之间的相关性比绿色区域更强,而在开花阶段,这种对比则相反。
Spearman相关曲线显示,RSRD的严重程度在红色区域最可量化。此外,所有生长阶段在NIR区域都出现了一致的相关性。基于这些特征,分别从红色和NIR区域选择了两个波段作为构建RSRI方程的部分。红色区域的*优波段分别为抽穗阶段的680nm和开花及灌浆阶段的675nm(图4)。NIR区域最敏感的波段为751nm、743nm和734nm。因此,确定了红色区域的共同波段675nm和NIR区域中位波长740nm来填充RSRI方程。RSRI的第三个波段从抽穗阶段的剩余代表性波段中选择,包括454nm、489nm和553nm。构建了三个候选指数,分别命名为RSRI-1、RSRI-2和RSRI-3,以进行进一步比较。
显然,RSRI-1在抽穗阶段与DS的相关性显著高于RSRI-2和RSRI-3(图6)。对于开花或灌浆阶段,三个RSRI候选指数的R²值仅略有不同。因此,RSRI454,675,740被确定为量化和映射DS的*佳指数。
图6. DS(疾病严重度)与SIs(光谱指数)之间的关系,包括回归线和R²值。绿色、蓝色和红色的正方形分别代表抽穗、开花和灌浆阶段的样本。除了RSRI-3(553,675,740)与抽穗阶段DS之间的关系(p值=0.133)外,所有回归都具有统计学意义(p值<0.001)
(3)使用RSRI和现有指数对疾病严重度进行量化和映射
DS与SIs之间的关系在不同生长阶段有所变化(图7)。在抽穗阶段,RSRI的R²值高于其他SIs(RSRI: R² = 0.75; 其他: R² < 0.66)。在开花和灌浆阶段,RSRI对于轻度和重度感染样本均展现出*强的相关性。RSRI的R²值接近PRI670和PSRI,但高于其他SIs。此外,对于单一SI,校准回归模型的权重在不同生长阶段有所不同,特别是在抽穗阶段。图7中比较的所有SIs均表现出类似的现象,除了PRI670。
图7. DS与SIs之间的关系,包括回归线和R²值。绿色、蓝色和红色的正方形分别代表抽穗、开花和灌浆阶段的样本。所有回归均具有统计学意义(p值<0.001)
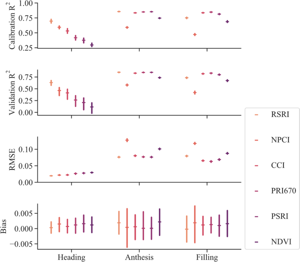
总体而言,每个SI在涉及的生长阶段中对DS估计的准确性差异显著(图8,9)。在开花阶段的量化性能*佳,而在抽穗阶段的性能最弱。此外,RSRI和现有光谱指数在DS量化准确性方面表现出相反的结果。对于抽穗阶段,RSRI在DS量化中获得了*佳准确性(R² = 0.65)(图8A),并且在所有五个指数中展现出最集中的RMSE和验证R²的CIs(图9)。所有现有光谱指数在抽穗阶段未能有效量化DS,其准确性指标的置信区间明显比RSRI宽。结果表明,RSRI在开花阶段和灌浆阶段的DS量化中验证R²分别为0.84和0.78(图8B,C),并且具有紧凑的置信区间指标(图9)。此外,现有光谱指数在开花阶段对轻度RSRD严重度存在低估,而RSRI则没有这种情况(图8)。RSRI在不同生长阶段的DS量化中表现*佳。
图8.使用基于SI的模型测量和估算的DS散点图,分别对应抽穗(左列)、开花(中列)和灌浆(右列)阶段。从顶部到底部的行分别代表RSRI(A-C)、NPCI(D-F)、CCI(G-I)、PRI670(J-L)、PSRI(M-O)和NDVI(P-R)
图9.在不同生长阶段(左列:抽穗,中列:开花,右列:灌浆)对RSRI和现有SIs在DS(疾病严重度)量化中的校准准确性(R²)、验证准确性(R²)、RMSE和偏差的比较。每一百轮评估的平均值(水平条)伴随着置信区间(垂直条)。
图10展示了通过结合基于SI的线性模型和高光谱数据立方体,对三个代表性样本稻穗内DS的空间变化进行映射的结果。以RGB图像作为参考,RSRD感染区域通过映射方法成功被描绘出来。然而,与提出的SI相比,现有的SIs未能生成DS分布的真实映射。相比之下,基于RSRI的地图在健康像素区域的黄色区域(表示过估的区域)比选定的SIs少,而这些区域被错误地标记为轻度疾病严重度(图10A,B)。基于RSRI的地图还适当地揭示了严重感染区域,而基于选定SIs的对应病变则显示较弱(图10C)。RSRI的病变分布与参考图像显示出*强的相似性,特别是对于轻微和严重感染区域。
图10.展示了三个独立稻穗样本(A:轻微感染的稻穗,B:轻度感染的稻穗,C:严重感染的稻穗)的RGB图像、病斑分布参考图以及从RSRI和现有SIs导出的DS图。请注意,RGB图像上可以识别出谷物之间的小间隙,但由于高光谱图像的空间分辨率较低,这些间隙在高光谱图像上无法被区分
(4)讨论
稻穗成熟度对RSRD感染光谱响应的影响:不同生长阶段的光谱差异表明,RSRD感染稻穗的光谱响应受到病原-宿主相互作用和稻穗成熟度的共同影响。从病理学角度来看,光谱响应主要受生化成分和组织结构损伤的影响。可见光和NIR区域的反射率分别与色素浓度和叶片内部结构相关。因此,RSRD引起的叶绿素和类胡萝卜素降解导致蓝色和红色区域反射率增加。绿色峰值反射率的减少(图11A)可以归因于花青素含量的增加,这是一种对压力敏感的防御性色素。此外,RSRD穿透稻壳组织造成的坏死损伤是近红外平台反射率崩溃的主要原因。从成熟度角度来看,光谱变化趋势受到稻穗发育过程中生化变化的影响。稻穗中叶绿素含量和类胡萝卜素与叶绿素比例随生长阶段降低,这应该是稻穗成熟过程中红色区域反射率增加的生理基础(图11B)。尽管近红外平台的幅度对稻穗中的氮含量反应显著,但光谱形状保持不变(图11)。
图11. A.开花阶段三种不同RSRD严重度稻穗的反射光谱。B.代表与本研究无关的三种健康水稻稻穗在抽穗、开花和灌浆阶段的反射光谱
疾病发展和稻穗成熟之间的光谱变化相似性可能会削弱多生长阶段特征构建和DS估计的普遍性。此外,微妙的光谱响应可能无法抵消成熟过程的变化,这可能会导致从轻微到轻度感染阶段样本的显著估计误差,正如现有SIs在模型验证中所做的那样(图8)。在冠层尺度上进行疾病检测时,压力和物候变化的共存影响更为常见。因此,确保推导出的光谱特征在不同生长阶段对稻穗疾病监测有效至关重要。
先前的研究通过从全波段光谱信息中提取特征,利用主成分分析(PCA)或简单体积*大化等方法,减轻了病原体检测中因植物衰老等生理变化产生的影响。然而,这些转换后的光谱特征可能并不适用于轻微感染的情况,因为RSRD在红色区域的光谱响应可能与稻穗成熟时的响应在幅度和形状上相似。可以考虑选择对稻穗生长不敏感的波长区域,以抑制全波段转换中的成熟效应。鉴于健康稻穗中花青素含量和内部结构在不同生长阶段的稳定性,成熟过程中的光谱变化可以通过绿色反射率的降低和近红外区域的独特斜率来排除。这些特定于疾病的波段可以用来避免稻穗成熟对疾病检测性能的影响。此外,这个问题可以通过使用超出VNIR区域的更多波段来进一步解决,例如短波红外区域中对水分含量和干物质敏感的波段。然而,根据SIs的比较,这些对成熟不敏感的波段并不适用于早期感染阶段的DS估计。需要确定对早期感染敏感的波段,以提高早期感染阶段和多个生长阶段DS估计的准确性一致性。
蓝色波段在疾病监测中的贡献:蓝色波段在疾病监测中的重要性得到了证实,因为只有RSRI和NPCI在抽穗阶段(感染的早期阶段)的DS量化中达到了可接受的准确性。蓝色区域的反射率特征是主要色素的吸收重叠。因此,蓝色反射率应对由病原体感染引起的微妙生化变化敏感。例如,蓝色光谱特征可以记录在早期应激阶段,衰老和不健康植物中常见的叶绿素含量的减少。此外,蓝色波段对稻穗成熟的不敏感性可能部分解释了RSRI在不同生长阶段对DS的一致敏感性(Figs. 7, 8)。
为了理解带宽在疾病监测中的效果,我们根据常安装在无人机上的植被遥感设备Airphen(Hi-phen,法国)和RedEdge-MX多光谱相机(Micasense,美国)模拟出宽波段,并从中导出了新的RSRI。基于传感器的光谱响应函数和高光谱反射率的积分计算宽波段反射率。与窄波段RSRI相比,宽波段RSRI在DS与SI之间的关系以及在多个生长阶段的RSRD严重度量化中显示出相似的性能(图12,13)。这样的性能表明,宽波段在DS估计中同样有效,它们在无人机上安装的相机进行疾病监测方面具有潜力。然而,由于大气效应的影响,蓝色特征可能不适合于航空或航天平台。
图12.展示了三个生长阶段(A)Airphen和(B)RedEdge-MX模拟数据的DS-RSRI关系。绿色、蓝色和红色正方形分别代表抽穗、开花和灌浆阶段的样本。RSRI是通过参考Airphen或RedEdge-MX的带宽和中心波长,从高光谱数据立方体模拟的多光谱反射率计算得出的。将454nm、675nm和740nm的波段分别替换为每个传感器的蓝色、红色和近红外波段。所有回归均具有统计学意义(p值<0.001)
图13.使用基于RSRI的模型从多光谱数据(A-C Airphen相机,D-F RedEdge-MX相机)得出的测量和估算的量化DS散点图,分别对应抽穗(A, D)、开花(B, E)和灌浆(C, F)阶段。
然而,由于色素复杂降解过程的影响,通过生化变化来理解蓝色反射率的变化是困难的。尽管由于与红色波段相比对DS的敏感性较弱(图4),蓝色波段可能不足以单独用于疾病监测,但可以利用特征工程方法来增强蓝色波段的敏感性,如SIs、特征组合和先前研究中应用的光谱转换。此外,根据病原体类别的不同,蓝色波段响应背后的微妙生化变化可能会有所不同。确定对特定胁迫敏感的特定波段区域对于DS估计和疾病识别中的特征构建至关重要。
结论
本研究确定了多个生长阶段对RSRD的光谱响应差异,并构建了一个新的指数RSRI,该指数对多个物候阶段的RSRD敏感。结果表明,灌浆阶段绿色和近红外区域的反射率对DS的敏感性显著低于开花阶段。RSRI的优化表明,蓝色波段的加入提高了抽穗阶段SI对DS的敏感性,增强了早期疾病检测能力。与NPCI、CCI、PRI670、PSRI和NDVI相比,RSRI在早期感染阶段对DS的敏感性最高,并且从抽穗到灌浆阶段在DS估计中表现最为稳定(抽穗:R² = 0.65,RMSE = 0.02;开花:R²= 0.84,RMSE = 0.08;灌浆:R²= 0.78,RMSE = 0.08)。此外,基于RSRI的模型比之前研究的SIs更能准确地映射轻微、轻度和严重感染样本的病斑分布。RSRI在早期感染阶段的DS估计和病斑映射可以为作物保护和病理学研究提供有效的参考。
推荐产品
作者简介(人名+单位+博导/硕导)
程涛,南京农业大学,博士生导师
参考文献
论文引用自一区文章:Bowen Xue, Long Tian, Ziyi Wang, Xue Wang, Xia Yao, Yan Zhu, Weixing Cao, Tao Cheng. Quantifcation of rice spikelet rot disease severity at organ scale with proximal imaging spectroscopy. Precision Agriculture (2023) 24:1049–1071. http://doi.org/10.1007/s11119-022-09987-z