背景
钛因其优异的性能被广泛应用于航空航天、医药等***领域,由于其用量大,也被誉为仅次于铁、铝的“第三金属”。然而,钛矿的品质直接关系到钛金属的经济价值和开采潜力。作为评估矿石质量的主要指标,矿石品位的确定至关重要。目前,多种基于传感器的品位分析技术在采矿业内外蓬勃发展。尽管上述方法取得了一些进展,但它们许多都是缓慢的,需要繁琐的样品制备程序,并且会使用有毒的、昂贵的化学试剂,无法满足智慧矿山和绿色环保的理念要求。高光谱成像技术(HSI)具有“图谱合一”的优势,可以同时检测目标的光谱和空间域信息,并获得能够充分反映物体内部成分和外部特征的三维数据体。
自20世纪70年代以来,Hunt基于高分辨率的光谱反射率特征方面对不同矿物、岩石和有机物的高光谱特性进行了初步探索。近年来,Thangavelu利用高光谱测定了不同铁矿石样品的品位。此外,Samanta基于高光谱的辐射数据,快速确定了铜矿的品位。Manna在铜矿铜品位估算中,开发了一种多层前馈神经网络模型,以建立高光谱反射率特征与铜品位之间的功能联系。以上HSI已被用于通过评估单一矿石成分(如Fe或Cu品位)来识别矿物质,其在多组分中的应用尚不清楚。由此可见,基于高光谱的检测技术在矿业领域仍然是一项年轻的技术,实际应用很少。
HSI获得的数据量很丰富,通常一个像素往往包含多个组分的混合信息,这使得多元数据分析变得非常关键。该分析方法能尽可能多的挖掘光谱数据中有价值的信息,直接对不同形态的复杂混合物进行定性和定量分析。目前,化学计量学是被公认为多元数据分析的有力工具,已经在高光谱图像上使用了很多年。本文着重在光谱预处理、降维分析、模型构建等阶段探索了该方法的应用。
本研究旨在探讨HSI对钛铁矿中钛、铁、钒、锰、钴、铜、锌、铬、铅等9种主要组分品位测定的应用潜力。在光谱数据处理阶段,分析了不同预处理方法对数据的影响,重点比较了基于投影(t-SNE)和特征选择(iPLS-VCPA-IRIV、iPLS-VIP-IRIV)的降维技术的有效性。为了检验钛铁矿HSI在空间域的潜力,利用颜色矩提取了矿石样本的颜色特征,并与各组分品位间进行Pearson相关性分析。基于光谱和空间数据,采用树突网络(DD)、偏最小二乘(PLSR)、反向传播神经网络(BPNN)和麻雀优化的核极限学习机(SSA-KELM)多元模型建立数据集与各组分品位之间的映射关系,并对其可靠性进行评估,以确定*佳反演模型。最后,采用*优组合算法对平行试样的品位值进行反演验证。
实验
本研究所用的钛铁矿原料来自中国四川(由攀枝花学院提供)。在这项工作中,所有样品均在实验室球磨机(南大QM-3SP2行星式)中研磨,之后以200目粒径进行筛分。使用Innov-X Delta DS6000手持式XRF装置测定两份原料的钛品位分别约为3.6780%和31.4530%。为了校准模型的开发提供广泛的钛浓度变化范围,用电子分析天平(Sartorius BSA224S)将两份原料以1% (Ti)的梯度制备5份,在球磨机中分别以300转/分钟的速度充分混合30分钟,再次使用XRF测***备的钛铁矿粉末样本的多组分品位。矿石样本制备完成后,通过GaiaField-N17E-HR光谱相机(江苏通宝TB888公司)采集矿石样本高光谱图像。
提取光谱数据
图1b(蓝色线条)为HSI捕获到的原始平均光谱曲线,可以明显看到在整个光谱区域没有特异的波峰波谷。为了找出峰谷突出的区域,分析了光谱波段之间的相关性。对于维度为(x, y, λ)的高光谱数据,转换为(z = x × y, λ),并对z进行相关性分析,结果如a所示。图中显示红色区域的波段在整个波段中占比94.34%,其余颜色区域总共占比5.66%。为了***限度地保留 “纯净数据”,防止其它颜色区域数据的干扰,通过查询颜色栏数据并结合波段得知红色与其余颜色区域的相关性分界点为0.8(波段:483)。随后,将相关性小于0.8的30个波段从数据分析中剔除,从而***了1685.47-1735.34 nm的光谱区域。得到的光谱曲线如图1b(红线)所示。该过程获得的光谱数据(150×483)用于后续的模型建立和分析。

图1 光谱曲线分析
结论
通过XRF检测出了钛铁矿中品位较高的9种金属元素,根据其品位高低对样本进行分组。其中,1%及以上为主要品位(Ti, Fe),0.02-1%为次要品位(V, Mn, Co, Cu),0.02%及以下为微量品位(Zn, Zr, Pb)。钛铁矿中各组分品位的统计分布如表1所示,可以清晰看出,不同组分的品位有明显的差异,这对回归模型的建立至关重要。
表1 钛铁矿样品品位测定的统计分析
|
Ilmenite components |
Range (%) |
Mean (%) |
SD (%) |
|
|
Major grades |
Ti |
3.3700-31.4530 |
16.2600 |
8.4938 |
|
Fe |
9.0620-32.2490 |
19.3504 |
6.6826 |
|
|
Minor grades |
V |
0.0700-0.3600 |
0.1931 |
0.0706 |
|
Mn |
0.1220-0.6070 |
0.3444 |
0.1413 |
|
|
Co |
0.0690-0.2175 |
0.1491 |
0.0422 |
|
|
Cu |
0.0092-0.0450 |
0.0199 |
0.0071 |
|
|
Trace grades |
Zn |
0.0071-0.0220 |
0.0140 |
0.0039 |
|
Zr |
0.0066-0.0168 |
0.0118 |
0.0028 |
|
|
Pb |
0.0018-0.0220 |
0.0086 |
0.0040 |
|
钛铁矿样本的光谱反射率值在0.03 - 0.27之间,证实粉状钛铁矿的整体反射率较低,并随品位的增加而降低。图1b显示在NIR区域,该钛铁矿的光谱特征分别在940nm、1020nm和1300~1650nm处出现了波谷。具体地,光谱反射率值在940 nm处达到谷值,随后急剧下降,这主要归因于O-Ti-O的拉伸和变形。该钛铁矿较宽的吸收波段主要位于1300 ~ 1650 nm,Izawa指出这是由八面体配位的亚铁在此附近产生晶体场跃迁分裂而引起的。
采用SG、MSC、CR、SD、MSC+SG等5种预处理方法对原始光谱数据进行处理。基于DD模型对比原始光谱数据,探索出HSI光谱数据的***预处理方法,结果如表2所示。预测集中,与原始数据相比,MSC+SG方法下的各指标R2P提高了5.88%,RMSEP降低了34.39%,RPD和RPIQ分别提高了28.86%和38.93%。
表2 DD模型下不同预处理方法的结果
|
Pretreatment methods |
Calibration set |
Prediction set |
||||
|
R2C |
RMSEC |
R2P |
RMSEP |
RPD |
RPIQ |
|
|
RAW |
0.9123 |
0.5390 |
0.9127 |
0.5513 |
3.3845 |
3.5976 |
|
SG |
0.9047 |
0.5959 |
0.9079 |
0.5789 |
3.2951 |
3.1422 |
|
MSC |
0.9488 |
0.4072 |
0.9619 |
0.3778 |
5.1232 |
5.0226 |
|
CR |
0.8149 |
0.8352 |
0.8285 |
0.7091 |
2.4147 |
3.5038 |
|
SD |
0.8393 |
0.7543 |
0.8978 |
0.5119 |
3.1281 |
4.4302 |
|
MSC+SG |
0.9623 |
0.3501 |
0.9687 |
0.3137 |
5.6523 |
6.6036 |
为直观地看到各预处理方法对数据的改变,绘制了HSI采集的钛铁矿样本三维原始光谱如图2a所示,图2b-d所示三维光谱为CR、SD、MSC+SG预处理的结果。SG预处理后的光谱反射率曲线趋势与钛铁矿原始光谱反射率曲线相似。MSC和MSC+SG预处理的光谱变化不大,但有效地***了光谱散射,突出了光谱峰谷区域。相比之下,CR和SD预处理后的光谱变化明显,两种方法的光谱反射率范围差异过大,导致原始数据的一些特征丢失。然而,***MSC+SG预处理图谱显示,光谱特征区域显著增强,反射率数据得以明显集中,有效增强了光谱特征信息。因此,MSC+SG可以作为一种有效的光谱预处理方法来预测钛铁矿多组分的品位信息。

图2 HSI采集钛铁矿样品的三维光谱:(a) RAW光谱;(b) CR预处理后的光谱;(c) SD预处理后的光谱;(d) MSC + SG预处理后的光谱。
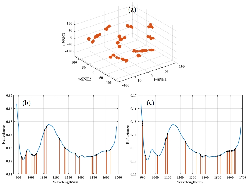
采用t-SNE、iPLS-VCPA-IRIV和iPLS-VIP-IRIV三种不同的降维算法对近红外光谱数据进行不同程度地约简。图3为不同降维算法的数据分布情况。t-SNE改变了原始数据集,经该方法输出的高维(483维)原始光谱数据特征映射到了三维平面之上。特征选择方法iPLS-VCPA-IRIV和iPLS-VIP-IRIV三步混合策略算法提取的波长数分别为28和38,比原始维度相应减少了94.19 %和92.12 %。总的来说,三种降维算法有效地***了原始光谱矩阵中的冗余信息,为减少计算时间和确保精度奠定了基础。

图3 不同降维方法下的数据分布:(a) t-SNE;(b) iPLS-VCPA-IRIV;(c) iPLS-VIP-IRIV。
表3为钛铁矿样本中各组分的VIF检验分数。在相关程度上,L代表相关度低,H代表相关度高。对于每个变量,VIF得分均不超过2,说明各变量之间的共线性现象不突出,相关程度符合研究要求。因此,可以采用数据预处理,降维等方法对各组分品位数据进行处理,并参与模型预测。
表3 钛铁矿样品中各组分的VIF指数
|
Components |
Ti |
Fe |
V |
Mn |
Co |
Cu |
Zn |
Zr |
Pb |
|
VIF |
1.3835 |
1.4561 |
0.0287 |
0.2962 |
0.1615 |
0.0230 |
0.0358 |
0.0699 |
0.0179 |
|
Correlation (L/H) |
L |
L |
L |
L |
L |
L |
L |
L |
L |
提取矿石样本的颜色特征是否可以用于构建品位预测模型,还有待进一步验证。基于钛铁矿多组分品位(平均品位)与颜色特征参数进行Pearson相关性分析(图4)。从图中可以看出,除S颜色通道的特征参数与多组分品位存在弱相关(R < 0.3)外,其余颜色特征参数对于品位预测模型都是合理的。造成这种现象的原因是,钛铁矿本身是一种不透明矿物,而HSI采集到的图像过于单一,整体颜色偏暗。

图4 品位和颜色特征参数的皮尔逊相关性分析
多元回归模型DD、PLSR和SSA-KELM可能对两个维度中某一特定数据集的表现好,但基于多组分品位模型稳定性的需求,BPNN才是*佳的模型选择。图5为基于BPNN两个效果*好的光谱和图像数据结果,可以看出,两个数据的指标变化差异不大,证实了BPNN模型即使在小样本量下也具有很强的泛化性能和鲁棒性。综合评价表明,BPNN对两组数据集的预测都是成功的,但利用图像数据预测钛铁矿多组分品位的可靠性略低于利用特征选择的光谱数据。

图5 基于光谱数据和图像数据的*优模型结果
从iPLS-VCPA-IRIV特征选择的拟合光谱数据图(图6)可以看出,在校正集中,钛铁矿多组分品位都均匀准确地分布在理想曲线上。然而,对于预测集来说,明显可以看出来的是,除拟合良好的主要品位(Ti、Fe)和次要品位(V、Mn、Co、Cu)外,微量品位(Zn、Zr、Pb)的拟合似乎并不令人满意。因此,在下一步工作中,可以对少样本量下矿石内部微量品位的变化进行更深入的研究。

图6 基于iPLS-VCPA-IRIV光谱数据的BPNN模型拟合效果
本研究从光谱和空间维度出发,探讨了HSI与化学计量学相结合预测钛铁矿多组分品位的能力。
参考文献:Yi X, Chen M, Guo W, et al. Multicomponent hyperspectral grade evalsuation of ilmenite using spectral-spatial joint features[J]. Analytical Methods, 2023, 15(38): 5050-5062. http://doi.org/10.1039/d3ay01102j
地址:无锡市梁溪区南湖大道飞宏路58-1-108
电话:13810664973
邮箱:info@xpjxsb.com
地址:北京市海淀区中关村大街19号
电话:13810664973
邮箱:info@xpjxsb.com
地址:陕西省西安市高新区科技一路40号盛方科技园B座三层东区
电话:13810664973
邮箱:info@xpjxsb.com
地址:成都市青羊区顺城大街206号四川国际大厦七楼G座
电话:13810664973
邮箱:info@xpjxsb.com
地址:深圳市龙华区民治梅龙路
电话:13810664973
邮箱:info@xpjxsb.com