EN

松树种类、侵染响应和数据类型对近距离高光谱遥感检测松材线虫病的影响

发布者: 发布时间:2024-11-25

应用方向

森林病虫害的早期检测是森林健康监测遥感应用的重点。松枯病(PWD)对全球松树资源造成重大破坏,近距离高光谱遥感在早期诊断方面发挥关键优势,当前探索高光谱检测在视觉前阶段检测PWD的作用。本研究旨在调查松树种类、感染反应和数据类型对视觉前阶段PWD高光谱检测的影响。在三个地点对两种松树样本树进行了人工接种实验,并使用地面非成像和无人机成像光谱仪定期收集高光谱数据。确定了五种感染反应:保持健康(KH)、快速感染(QI)、缓慢恢复(SR)、快速恢复(QR)和缓慢感染(SI)。光谱分析揭示了RVI(680-550, 750)和NDVI(560, 680)指数动态变化与五种感染反应的光谱特征吻合。从第14天起能对具有QI反应的感染树木的光谱检测准确率超50%。此外,成像和非成像数据类型对检测过程没有显著影响。需要进一步的研究来确定光谱分辨率差异较大的阈值,并探索在各种松树物种和生长环境中的检测。

背景

森林中的病虫害发生是森林健康的关键指标。通过监测病虫害的发生和传播,可以深入了解森林生态系统的整体健康状况,从而有助于及时采取措施预防或减轻潜在疾病的爆发。在众多森林病虫害中,松枯病(PWD)一直被认为是世界上最具破坏性的疾病之一。近年来,随着对PWD发生和传播特征的全面了解,加上有效的监测和预防措施,PWD的广泛和广泛爆发已变得相对罕见。在PWD传播之前,特别是在小尺度上,单个树木水平上迫切需要使用具有高空间、时间和光谱分辨率的遥感数据。近距离传感已成为森林监测的重点,证明了在空间和时间维度上大幅增加实地观察量的能力。不同松树种对PWD的易感性差异明显。不同的数据类型意味着在近距离传感中使用具有不同空间、光谱和时间分辨率的高光谱数据进行PWD监测。

实验设计

松树样树来自江苏省南京的城市森林带,在三个选定的地点进行了两次田间试验。在三个地点对两种松树样本树进行了人工接种实验,并使用地面非成像和无人机成像光谱仪定期收集高光谱数据。
图1 中国南京研究区域(a),三个林分(b),一个接种管(c),接种的Pinus thunbergii出现绿色攻击、灰绿色攻击、10%、50%、70%和100%变色的症状(d)和接种的马尾松(e)的症状
成像高光谱数据来自350-1050 nm的推扫式成像光谱仪(GaiaSky-mini2-VN,江苏通宝TB888光谱成像技术有限公司,中国江苏无锡)配备DJI Matrice M600 Pro 六轴飞行无人机。叶绿素指数使用叶绿素计无损测量。
图2 GaiaSky-mini-2成像仪(a)、DJI Matrice 600 Pro(b)、辐射参考目标(c)、CCM-300叶绿素计(d)
在地点A和地点B的接种实验中,两种松树对接种都表现出五种不同的反应。第一个反应是免疫状态,即25棵接种的黑松中有3棵在整个观察的250多天中保持健康状态,20棵接种的马尾松树中有8棵保持健康。第二次反应的是6棵黑松和4棵马尾松迅速进入感染状态,表现出10%的变色,分别在接种后90天和180天内发展到100%变色和整株枯萎。第三次反应涉及5棵黑松和4棵马尾松,表现出缓慢的感染,然后逐渐恢复健康。第四次反应以5棵黑松和4棵马尾松为特色,迅速感染变色,但随后迅速恢复到绿色或灰绿色状态。第五次反应包括7棵黑松和2棵表现出缓慢感染的马尾松。与其他感染状态相比,这些树木表现出更长的视觉前阶段持续时间。
根据病木叶绿素浓度在感染过程中的变化比较,如图1所示,健康对照黑松的叶绿素含量在整个测量期间保持稳定。仅在接种后第178天的测量期间,观察到叶绿素含量略有下降。然而,这种下降明显小于在接种的松树中观察到的下降。这种小幅下降的主要原因是它与冬天的到来相吻合。然而,与黑松相比,马尾松在衰退和恢复方面表现出更剧烈的变化,尤其是当测量期延长到冬季时。这表明在SI、SR和QR感染状态下树种之间叶绿素含量变化的差异是显著的。此外,季节性变化对叶绿素含量的影响也很明显,特别是在受PWD感染的树木中。
图2 Pinus thunbergii(a)和Pinus massoniana(b)5种侵染状态下接种后叶绿素浓度的变化
植被指数的变化证实了光谱特征对PWD感染进展的有效响应。然而,很明显,当受感染的树木中出现可见的变色特征时,会发生显着的光谱变化。在视觉前阶段对受感染树木的可检测性意味着可以识别出细微的光谱变化。我们将2个物种的感染木分为视觉前阶段(PV)和视觉阶段。在视觉阶段中,进一步细分,区分早期视觉阶段(EV,树木变色在10%以内)和晚期视觉阶段(LV,树木变色超过10%)。通过随机森林方法对原始波段、VI和组合数据集分别进行分类。在分类过程中,健康对照与PV、EV和LV阶段一起分类,形成四类。结果表明,黑松的总体分类准确率超过80%,马尾松的分类准确率均低于70%。实验结果还表明,虽然高光谱方法可用于黑松和马尾松的早期检测,但准确性明显低于晚期。此外,两种松树种的识别能力存在显著差异。
在对数据集进行分类时,使用两种方法确定了对分类贡献最大的前十个波段或植被指数(VI):RF和PCA用于光谱学。通过射频方法发现两种物种的较高重要性条带集中在相似的范围内,在特定条带方面存在显著差异;PCA-S确定的贡献最大的因素在两种松树种之间表现出高度的一致性。
在站点C进行的无人机飞行实验中,在接种黑松和马尾松的树木中,除了一棵保持健康的树木外,其余三棵树作为站点A和B表现出快速感染(QI)的症状。由于树木中大部分症状变化始于树冠中下部,因此从无人机图像观察时,树冠顶部针叶的变色滞后。因此,在图像上选择样本像素时,尤其是在可见症状变化期间,选择将基于空中变色特征和地面观测,以最大限度地减少冠层顶部新鲜树叶的干扰。
图3 马尾松(a)和黑松(b)的无人机RGB图像中接种后病松的发育
分析了自接种之日起RVI(680-550, 750)和NDVI(560, 680)的时间动态,在疾病进展过程中,两个指数的变化趋势与非成像数据分析的结果一致。就两个指数值的变化时间而言,马尾松比黑松更快地进入视觉上可辨别的变色阶段。这种疾病的进展与对接种树木的实地调查结果一致。此外,与非成像数据分析的结果一致,这两个指标虽然表明区分了视觉前阶段和视觉阶段,但在视觉前阶段,患病树木和健康树木之间的差异很小,使其不足以识别这一阶段的患病树木。
图4 无人机图像显示马森和黑松快速感染状态下RVI(680-550, 750)和NDVI(560, 680)的时间变化
注:在实验2中,观察到黑松和马尾松分别在接种后第44天和第25天最初进入视觉变色阶段。
利用无人机高光谱图像在HC、PV、EV和LV阶段建立4组光谱数据和43个VI。无论成像还是非成像数据集,黑松使用原始波段和VIs组合数据集的分类精度最高,而马尾松使用VIs数据实现的分类精度最高。此外,在相应时期,实验2中成像数据的分类精度普遍高于实验1中的非成像数据。这可能是由于与实验1相比,实验2中接种的黑松和马尾松的疾病进展更快。此外,与非成像数据选择的结果类似,波段或VI的选择存在显着的不确定性,在各种分类组合的前十名贡献中观察到显着变化。同样,RVI(554, 677)或NDVI(531, 570)也出现在各种成像数据分类组合中,在重要性排序的优先位置排名突出。使用PCA-S方法获得的重要性排序结果表明,对于黑松和马尾松,以及任何分类组合,选定的6个VI与非成像数据选择的结果完全一致,重要性排序顺序仅略有不同。
图5 HC、PV、EV和LV阶段的黑松(左)和马尾松(右)的PCA-S评分图
结合成像和非成像数据,分析RVI(554, 677)、NDVI(531, 570)的视觉前分期变化以及PCA-S选择的6个稳定指标。RVI(680-550, 750)和NDVI(560, 680)的值可以用作预测感染状态是否会很快变得可见的指标,因为它们从阴性到阳性或阳性到阴性的明显变化,在视觉前阶段选择的VI的变化虽然一致,但并不能为确定此阶段的感染提供明确的标准。然而,无人机图像的特性可能为通过这些光谱变化引起的图像中的细微颜色变化来识别视觉前阶段提供了潜力。
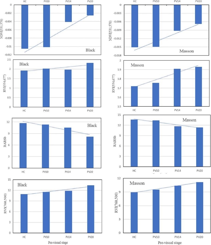
图6 黑松和马尾松4个特异性VIs在HC和3个PV期(接种后第10、14、20天)的平均值变化
当使用选定的8个VI进行颜色合成时,我们发现生成的伪彩色图像高度碎片化,因此难以辨别树冠本身。尽管一些组合在视觉前阶段确实在受感染的树木中显示出颜色差异,但它们需要初始树冠分割才能正确显示树冠信息,这增加了识别过程的复杂性。为了更好地保留冠状特征并提高图像可读性,我们保留了原始的红色(R, 648.5 nm)和蓝色(B, 449.5 nm)波段信息,并在颜色合成过程中用各种VI替换了绿色波段。
图7 马尾松(a)和黑松(b)在侵染期(1、10、14、20和106)下的假彩色图像接种后第二天)

结论

我们在3个地点对接种PWD的黑松和马尾松进行了高光谱监测实验,收集了成像和非成像高光谱数据,涵盖了从视觉前感染阶段到视觉阶段的整个周期,其中整棵树表现出变色和枯萎。使用RF,对感染树木和健康对照在不同阶段的光谱特征进行分类,重点是接种后第7、10、14、20和28天的视觉前阶段。使用RF和PCA-S对非成像数据和无人机图像,基于原始波段、43个VI及其组合进行重要性分析。指数整合了来自红、绿、红边和近红外波段的关键信息,在视觉前阶段识别受感染的树木方面发挥着至关重要的作用。将这些VI与真彩色图像中的红色(648.5 nm)和蓝色(449.5 nm)波段相结合,生成了伪彩色合成图像。从接种后第14天开始,这些复合材料开始在图像中显示色差,直观地显示出可检测的差异。

荐产品

作者简介

一作:潘洁;南京林业大学林草学院、华南地区可持续林业协同创新中心;硕导。

参考文献

论文引自一区SCI:Jie Pan, Xinquan Ye, Fan Shao, Gaosheng Liu, Jia Liu, Yunsheng Wang. Impacts of pine species, infection response, and data type on the detection of Bursaphelenchus xylophilus using close-range hyperspectral remote sensing, Remote Sensing of Environment, 2024. http://doi.org/10.1016/j.rse.2024.114468.

服务网络

  • 江苏通宝TB888科技有限公司

    地址:无锡市梁溪区南湖大道飞宏路58-1-108

    电话:13810664973

    邮箱:info@xpjxsb.com

  • 北京办事处

    地址:北京市海淀区中关村大街19号

    电话:13810664973

    邮箱:info@xpjxsb.com

  • 西安办事处

    地址:陕西省西安市高新区科技一路40号盛方科技园B座三层东区

    电话:13810664973

    邮箱:info@xpjxsb.com

  • 成都

    地址:成都市青羊区顺城大街206号四川国际大厦七楼G座

    电话:13810664973

    邮箱:info@xpjxsb.com

  • 深圳办事处

    地址:深圳市龙华区民治梅龙路
    电话:13810664973
    邮箱:info@xpjxsb.com
高光谱成像仪_高光谱相机_高光谱成像系统解决方案-江苏通宝TB888科技有限公司 无锡市梁溪区南湖大道飞宏路58-1-108 13810664973 ICP备案号:苏ICP备72454506号-1

销售直拨:13810664973

回顶
通宝TB888
      网站地图