背景
水稻真菌病害多由真菌孢子引起,真菌孢子是一种小型无性繁殖体,主要通过空气传播。分生孢子越多,传播范围越广,尤其是稻瘟菌(Magnaporthe grisea)和稻绿核菌(Ustilaginoidea virens)。全球每年由稻瘟菌造成的水稻产量损失达数亿公斤。稻绿核菌一旦侵入籽粒,就会直接导致水稻空粒率和瘪粒率的增加。因此,了解如何在水稻真菌孢子传播的早期阶段快速捕获和准确识别孢子,对于早期病害预测至关重要。
空气成分复杂,微生物种类繁多,孢子等微生物悬浮在气流中,处于不断碰撞和聚集的状态。因此,从空气中有效分离和捕获孢子成为孢子检测的首要问题。与传统的孢子捕获方法相比,微流控技术是一种快速、高通量的检测方法,可以实现自动化分析、集成化、小型化和低消耗。目前已在生物医学、食品检测和环境监测等领域大放异彩。
显微高光谱成像技术结合了高光谱和显微技术的优点。它可以在细胞水平上对微生物进行无创检测,具有快速、无损的优点。它不仅可以采集小目标的图像,还可以同时采集目标区域的光谱信息。目前已被用于开发真菌生长模拟模型、花生黄曲霉素检测等研究中。
因此,本研究提出了一种基于微高光谱和微流控技术的水稻真菌孢子检测方法。针对稻瘟菌孢子和稻绿核菌孢子设计了微流控芯片,使芯片能够分离空气中的其他颗粒,并在相应富集区域采集这两种类型的孢子。结合显微高光谱成像技术对孢子进行检测,并根据孢子的光谱特征建立分类模型,为水稻真菌孢子的早期检测提供了新方法和新思路。
试验设计
江苏大学毛罕平教授团队设计了如图1a所示的微流控芯片。该芯片可分为三种结构,每种结构都有相应的分离通道和富集区。一级结构设计为双入口对称预处理通道,其中空气中的孢子首先通过入口进入一级结构,然后通过鞘状流道。鞘状流道的主要功能是将含有孢子的气流挤压到微通道中,保证进入芯片的孢子在微通道中心形成单一的孢子流阵列。在鞘状流道之后增加一个减速通道,以减少附加惯性力对孢子运动的影响。通道中的孢子在随气流移动时也受到惯性的影响。质量和尺寸较小的孢子会随着气流移动,进入分离通道,到达结构的下一层进行分离;而质量和大小较大的孢子由于惯性会继续向原来的方向移动,最终会冲进富集区。鞘流和分离通道的工作原理分别如图1b、c所示。

图1 微流控芯片的二维结构(a);鞘流工作原理示意图(b);分离通道工作原理示意图(c)
后续对微流控芯片数值进行模拟分析。利用COMSOL Multiphysics 6.0多物理场仿真软件对微流控芯片的流场和孢子运动进行了数值模拟,对芯片参数进行了验证和优化。为了获得更好的模拟结果,模拟中使用5µm颗粒来表征稻绿核菌孢子,12µm颗粒用来表征稻瘟菌孢子,25µm颗粒用来表征空气中较大的杂质,2µm颗粒用来表征空气中较小的杂质。
本研究采用江苏通宝TB888公司生产的GaiaMicro系列显微高光谱成像系统用于孢子高光谱影像的获取。该系统主要由显微镜、V10光栅器件、电荷耦合器件探测器、数据采集模块和计算机组成。有效波长范围为400-1000 nm,光谱分辨率为2.8 nm,光谱采样率为0.7 nm。通过计算每个感兴趣区内所有像素的光谱反射率的平均值作为该孢子样本的光谱数据。两种孢子共获得300个光谱数据。为避免信息的冗余,文中采用竞争自适应重加权抽样(CARS)用于特征的优选,并使用支持向量机(SVM)和卷积神经网络(CNN)构建*佳孢子分类模型。
结论
为了找到隐藏参数的*佳值,并确保每个富集区域具有最高的富集效率,采用不同范围的值对隐藏参数进行模拟。发现当通道角θ2为45度、宽度W1和W2均为1800 μm时,颗粒富集效率最高。当W4为1000 μm、W3/W4为1.2以及W6为500 μm、W5/W6为1.6时分别对12 μm和5 μm的颗粒富集效率最高。
图2a-d为本研究设计的微流控芯片对不同粒径颗粒富集效果的模拟。粒径大于或等于18 µm的颗粒由于惯性作用会冲进富集区1a和1b,粒径小于18 µm的颗粒会随着气流进入二级结构,粒径在8 µm ~ 17 µm的颗粒会冲进富集区2。第三阶段的分离和富集结构与第二阶段相似,粒径在4 μm ~ 7 μm之间的颗粒进入富集区3,粒径小于4 μm的颗粒直接从出口排出。微流控芯片通道的速度分布图如图5e所示,微流控芯片通道的压力分布强度图如图5f所示。

图2 富集区1a和1b为25 µm颗粒(a);富集区2为12 µm颗粒(b);富集区3为5 µm颗粒(c);从出口排出2 µm颗粒(d);微流控芯片通道速度分布(e);微流控芯片压力分布(d)
图3为孢子富集实验平台。将制备好的孢子悬浮液放置在气溶胶发生器中,空气经气泵压缩后送入气溶胶发生器,产生生物气溶胶流。气溶胶流进入扩散干燥器以除去水分。烘干机后连接流量计,将流速设置为12.5 mL/min,与芯片模拟中的数值相同。同时,每个鞘流口分别连接另一个微流量计,并设定鞘流口流量为2.5 mL/min。最后的气溶胶流进入微流控芯片的通道以分离和富集孢子。打开气泵2 min后,孢子富集实验完成。富集完成后,用镊子夹住PDMS膜,缓慢取出。去除PDMS层的微流控芯片放置在显微镜下进行直接观察。

图3 孢子富集实验平台
图4展示了富集区2和富集区3的微高光谱影像。可以发现仍有少量极小颗粒附着在稻瘟菌孢子上一起进入富集区,但本实验平台已具有良好的净化效果。同时稻绿核菌孢子在富集区分布较为均匀。最终,本研究设计的微流控芯片对稻瘟菌孢子和稻绿核菌孢子的实际富集效率分别为82.67%和80.70%。

图4 稻瘟菌孢子富集结果(a);稻绿核菌孢子富集结果(b)
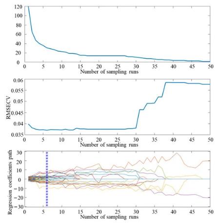
本研究使用CARS算法进行特征优选(图5)。随着CARS算法迭代次数的增加,总体上保留的波段数量在不断减少,但减少的速度由快变慢,这是由于CARS算法在特征波段筛选过程中从粗筛选到细筛选的变化。从RMSECV的变化趋势可以看出,随着样本数量的增加,RMSECV有减小的趋势。当样本数量为6个时,REMSECV最小,所选择的特征子集*优。最终选取了34个特征波长,占总波段的5.67%。

图5 CARS特征筛选结果
表1和表2分别展示了不同模型的分类结果以及分类指标结果。以CARS筛选后的波段为变量的分类模型优于以全波段为变量的分类模型。通过比较CARS-SVM和CARS-CNN分类模型,发现两种模型对稻瘟菌孢子的分类结果相似。而CARS-CNN模型对于稻绿核菌孢子的分类结果中,其二级指标中的准确率、精确率、召回率和特异性分别为0.960、0.950、0.970和0.950,三级指标的F1得分为0.960,远高于CARS-SVM分类模型。F1得分越接近1,说明分类效果越好。因此,CARS-CNN分类模型在稻绿核菌孢子分类中更有优势。
表1 不同模型的分类结果

表2 不同模型分类指标结果

作者信息
毛罕平,博士,江苏大学农业工程学院教授,博士生导师。
主要研究方向:现代设施农业及环境自动控制技术、智能化农业装备技术、生物信息探测与传感技术、移栽机械。
参考文献:
Zhang, X.D., Song, H.J., Wang, Y.F., Hu, L., Wang, P., & Mao, H.P. (2023). Detection of Rice Fungal Spores Based on Micro- Hyperspectral and Microfluidic Techniques. Biosesensors (Basel), 13.
http://www.mdpi.com/2079-6374/13/2/278
地址:无锡市梁溪区南湖大道飞宏路58-1-108
电话:13810664973
邮箱:info@xpjxsb.com
地址:北京市海淀区中关村大街19号
电话:13810664973
邮箱:info@xpjxsb.com
地址:陕西省西安市高新区科技一路40号盛方科技园B座三层东区
电话:13810664973
邮箱:info@xpjxsb.com
地址:成都市青羊区顺城大街206号四川国际大厦七楼G座
电话:13810664973
邮箱:info@xpjxsb.com
地址:深圳市龙华区民治梅龙路
电话:13810664973
邮箱:info@xpjxsb.com